MaxiSeq Human FFPE TCR+BCR(with UMIs)は、FFPEサンプルから抽出した200 ng~1 μgのRNAを用いて、T細胞受容体(TCR)およびB細胞受容体(BCR)のレパトア解析に必要なシーケンス用ライブラリーを調製できます。
本製品は、わずか200 ngの低品質RNA(RIN≧4、DV200≧40%)から、ヒトTCR鎖(TRA、TRB、TRG、TRD)、BCR重鎖(IgG、IgM、IgA、IgD、IgE)、軽鎖(IgK、IgL)のCDR3領域の配列を網羅的に取得します。TCR鎖とBCR鎖は、1つのライブラリーとして同時に解析することも、別々のライブラリーとして解析することも可能です。
さらに、UMIを使用することで、PCRによるバイアスやシーケンスエラーを除去し、希少なクロノタイプや重要な変異の検出精度が向上しています。
また、本製品にはUnique Dual Index(UDI)プレートが含まれており、最大96サンプルのマルチプレックスライブラリーを作製可能です。作製したライブラリーは、イルミナ社次世代シーケンサーのillumina NextSeq 500/550、NextSeq 2000、NovaSeqなどのプラットフォームに対応しています。
図1.MaxiSeq Human FFPE TCR+BCR(with UMIs)の原理とワークフロー
本製品は、遺伝子特異的プライマーを用いたRT-PCR法によってT細胞受容体(TCR:α、β、γ、δ)およびB細胞受容体(BCR:IGH、IGK、IGL)のCDR3領域の配列を効率的に取得できる。逆転写プライマーとしてUMIが組み込まれた遺伝子特異的プライマーを用いており、逆転写時にUMIを組み込むことにより、PCRによるバイアスを除去し、クロノタイプの正確なカウントが可能となる。
SMART-Seq Human TCR (with UMIs)などの免疫レパトア解析用のSMART-Seqキットが完全長のV(D)J領域を取得するために5’ RACE法を応用しているのに対し、本製品はCDR3領域をターゲットとするRT-PCR法を採用しており、分解が進んだRNAサンプルからのレパトア解析に適している。
本製品のワークフローは、まずTCR、BCRに特異的なプライマーを用いて、mRNAからFirst strand cDNAを合成しCDR3領域を増幅する(PCR1)。続いて、PCR1で増幅した産物の一部を用いたIndexing PCR(PCR2)によってインデックス(UDI)を付加したライブラリーを作製する。
本キットで作製したライブラリーは、サイズセレクションを兼ねた精製、品質確認後にシーケンスに使用することができる。
図2.腎細胞がんFFPE組織からの高品質な免疫プロファイリングライブラリー調製
MaxiSeq Human FFPE TCR+BCR(with UMIs)を用いて、RNA分解が進んだ腎細胞がんのFFPE組織から、免疫プロファイリングライブラリーを作製し、シーケンス解析を実施した。
パネルA:腎細胞がんFFPE組織のH&E染色像
パネルB:腎細胞がんFFPE組織から検出されたTCRクロノタイプ
パネルC:レプリケートを用いた再現性の確認(RNAインプット量:200 ng)
分解が進んだFFPEサンプルから再現性の高い結果が得られており(パネルC)、本キットを用いて信頼性の高い免疫プロファイリングが可能であることが示された。
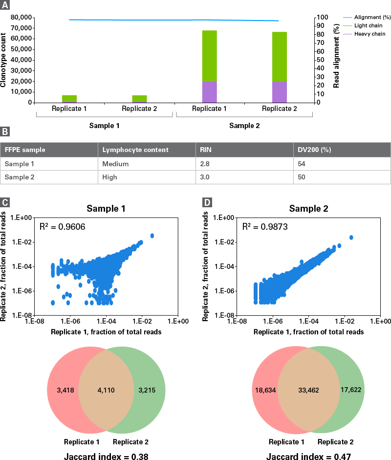
図3. 腫瘍浸潤リンパ球(TIL)FFPEサンプルにおけるBCRクロノタイプの高再現性プロファイリング
MaxiSeq Human FFPE TCR+BCR(with UMIs)を用いて、異なる2種類の腫瘍浸潤リンパ球(TIL)FFPEサンプルからBCRライブラリーをレプリケートで調製し、クロノタイプを解析した。
パネルA:各サンプルで検出されたBCRクロノタイプカウント
パネルB:各サンプルのリンパ球含量とRNAの分解度
パネルC:各サンプルにおけるレプリケート間の相関性(R
2>0.96)
パネルD:各サンプルにおけるレプリケート間の重複度(Jaccard指数0.33~0.47)
2種類のTIL FFPEサンプルをレプリケートで解析した結果、Sample2では、より多くのBCRクロノタイプが検出されおり、Sample1に比べてリンパ球の含有量が高いためと考えられる(パネルA、B)。
それぞれ、レプリケート間で高い再現性が示されており、相関係数(R
2)は0.96以上となった(パネルC)。一方、レプリケート間の重複度は低く、クロノタイプの多様性が示された(パネルD)。